| Флексографская
печать на рукавной термоусадочной пленке
Радикальные УФ-краски: новые стандарты
качества
| В этой статье
автор исследует новую технологию печати
УФ-красками радикального механизма
закрепления на рукавной термоусадочной
пленке и дает ответ на вопрос: как
она может улучшить печатные и потребительские
свойства по сравнению с глубокой печатью
красками на летучих растворителях.
Многие из рассматриваемых в этой статье
методов также могут быть использованы
для совершенствования печати на тонких
однослойных пленках. |
Джон Килбо,
УФ-химик компании Zeller+Gmelin Printing
Inks
Объем
рынка рукавной термоусадочной пленки постоянно
растет, обещая к 2007 г. достичь 525 млн
евро. В связи с этим снижение стоимости
флексографской печати может стать катализатором
развития данной отрасли. На сложившемся
рынке печати на рукавной термоусадочной
пленке доминирует глубокая печать красками
на летучих растворителях. Однако затраты
на гравировку цилиндров и установки рекуперации
растворителя, а также более высокая стоимость
печатных машин делают этот способ значительно
более дорогим по сравнению с флексографией.
УФ-краски c катионным механизмом закрепления
выпускаются уже несколько лет, но вследствие
необходимости отвода теплового излучения
от УФ-ламп при работе с термоусадочной
пленкой часто не удается достичь их полного
закрепления. Качество печати, скорость
и потребительские свойства при работе
с катионными УФ-красками оставляют желать
лучшего, из-за чего этот метод не рассматривался
как реальная альтернатива глубокой печати
красками на летучих растворителях при
работе как с малыми, так и с большими
тиражами.
С разработкой флексографских УФ-красок
радикального механизма отверждения специально
для печати на рукавной термоусадочной
пленке удалось улучшить такие свойства,
как качество печати, светонепроницаемость
белого цвета, безопасность для окружающей
среды, экономичность, характеристики усадки
и скольжения, а также производительность
по сравнению с глубокой печатью.
Разновидности УФ-процессов
Два
основных типа процессов УФ-отверждения
на сегодняшний день - это радикальный
(акрилатный) и катионный. Катионные краски
в течение нескольких лет используются
для печати малых тиражей на рукавной термоусадочной
пленке, в то время как УФ-краски радикального
механизма остаются основными при работе
с материалами, менее приверженными усадке
красочного слоя. Есть много форм и разновидностей
этих двух методов, но для простоты мы
будем придерживаться исходных процессов.
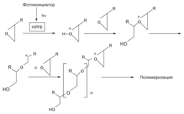
Катионный механизм полимеризации
При
полимеризации по катионному механизму
процесс начинается, когда фотоинициатор
подвергается УФ-облучению. Он превращается
в мощную кислоту, инициирующую реакцию.
На рис. 1 приведена схема катионного механизма.
Наращивание цепи продолжается с другими
эпоксидными группами до тех пор, пока
не произойдет обрыв цепи или полимер не
отвердеет, ограничивая подвижность молекул,
из-за чего реагенты теряют возможность
сблизиться и продолжить процесс. Катионный
механизм по сравнению с радикальным является
более медленным, включая в себя фазу темновой
реакции. Тепловое излучение от УФ-ламп
значительно влияет на скорость и степень
завершенности реакции. Таким образом,
если составить маршрут пленки так, чтобы
избежать смазывания, краска продолжит
процесс закрепления до тех пор, пока не
будут достигнуты заданные свойства.

Рис.1. Катионный механизм
полимеризации
Преимущества катионных
УФ-красок. Катионные краски проявляют
низкую степень усадки при закреплении
благодаря раскрытию кольца эпоксидной
группы. Замедляя общую скорость реакции
по сравнению с радикальным механизмом,
этот этап дает красочному слою больше
времени на релаксацию напряжений. Усадка
соединений катионного механизма обычно
составляет 5% или меньше.
Такие соединения обычно превосходят краски
радикального закрепления по экстрактивности
и не так сильно пахнут. Однако в недавнем
прошлом были достигнуты значительные успехи
в разработке соединений с менее резким
запахом и лучшей рецептурой, что привело
к ослаблению запаха радикальных красок.
Недостатки катионных
УФ-красок. Катионные краски имеют
несколько ограничений. Первое - скорость.
Катионная полимеризация несравнима с радикальной
по этому показателю и для надлежащего
закрепления может потребовать дополнительную
мощность УФ-ламп. Низкая степень усадки
красочной пленки в сочетании с более высокой
мощностью ламп, выделяющих, соответственно,
больше теплового излучения - жесткие рамки,
ограничивающие технологический процесс
при печати на термоусадочной рукавной
пленке. Кроме того, 70% мощности УФ-лампами
выделяется в форме ИК-излучения, нагрев
от которого потом отводится с помощью
охлаждающих валиков и специальных холодных
УФ-отражателей для термоусадочных пленок,
поэтому закрепление красок катионного
механизма полимеризации часто запаздывает.
Это становится причиной низкой прочности,
плохой адгезии и гораздо более сильного
запаха, чем у типичных радикальных УФ-красок.
Другим недостатком является прекращение
реакции катионной полимеризации из-за
атмосферной влаги. В дни с повышенной
влажностью или в регионах с влажным климатом
печатные свойства этих красок могут меняться
день ото дня. Может возникнуть необходимость
в системе климатического контроля.
Некоторые компоненты также могут вызвать
затруднения. Компоненты катионного механизма
закрепления дороже своих аналогов для
красок радикальной полимеризации. Нельзя
использовать в больших количествах щелочные
соединения, так как это может замедлить
или нейтрализовать реакцию. Подобное также
может произойти, если наложить краску
катионного отверждения на краску радикального
механизма или краску на водной основе,
которая содержит амины или другие щелочные
соединения. Кислотные компоненты также
следует использовать осторожно, поскольку
они могут запустить реакцию преждевременно,
повысить вязкость краски и превратить
ее в гель.
Выбор типов пигментов и их обработки
ограничен необходимостью нейтрального
pH, что сужает и без того неширокий выбор
вариантов, удовлетворяющих требованиям
текучести и оптической плотности для данной
УФ-системы. Выбор диспергирующих добавок
для этих пигментов также сильно ограничен,
поскольку некоторые из них содержат аминогруппы,
способные прервать реакцию ионной полимеризации.
Эти факторы означают, что полученные краски
будут иметь повышенную вязкость и пониженную
пигментацию, а значит, и ухудшенные печатные
свойства.
Некоторые фотоинициаторы ионного механизма
могут также содержать тяжелые металлы
и выделять в атмосферу печатного цеха
бензол - побочный продукт расщепления
фотоинициатора при облучении. Были разработаны
инициаторы, не выделяющие бензол и не
содержащие тяжелых металлов, однако применение
реактивов этого типа может немного замедлить
скорость полимеризации.
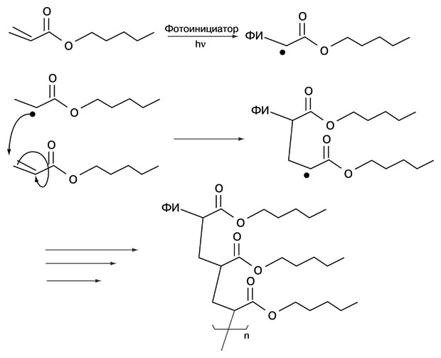
Радикальный механизм полимеризации
Этот
тип полимеризации активируется созданием
радикалов при помощи УФ-облучения молекул
фотоинициатора. Инициатор в возбужденном
состоянии открывает двойную связь акриловой
группы, создавая новый радикал. Реакция
продолжается с соседними макромолекулами.
Схема процесса изображена на рис. 2.

Рис. 2. Механизм радикальной
полимеризации
Радикалы продолжают взаимодействовать
с акриловыми группами до тех пор, пока
рост цепи не будет остановлен взаимодействием
с пигментом, кислородом, добавкой, другим
свободным радикалом или же произойдет
стеклование полимера, прекращая движение
молекул. Практически весь процесс полимеризации
происходит, когда краска облучается ультрафиолетом
и в течение последующих долей секунды,
однако такие свойства, как адгезия и стойкость
к растрескиванию, доходят до заданных
параметров по мере остывания и релаксации
краски на запечатанном материале. Нагрев
от УФ-ламп также ускоряет процесс закрепления,
но является гораздо менее важным фактором,
чем в катионной полимеризации. Поэтому,
если нейтрализовать ИК-излучение УФ-ламп,
краска будет закрепляться по-прежнему
качественно.
Преимущества красок
радикального механизма отверждения.
Процесс идет очень быстро. Полимеризация
зависит от температуры в гораздо меньшей
степени, чем при катионном механизме,
поэтому, используя лампы меньшей мощности,
можно добиться добиться значительно более
быстрого закрепления краски. Тем самым
дополнительно уменьшается нагрев запечатываемого
материала, что критически важно в случае
термоусадочной пленки. Выбор компонентов
красок не так ограничен кислотностью и
щелочностью пигмента. Число веществ-доноров
свободных радикалов, из которых можно
выбирать, также значительно превышает
выбор, доступный в случае катионной полимеризации.
Следовательно, возможно получение составов
с высоким содержанием пигмента и хорошими
реологическими свойствами для использования
с высоколиниатурными анилоксовыми валами,
гравированными YAG-лазером. Высокое содержание
пигмента позволяет получить нужный оптических
эффект при более тонком слое краски, что
снижает эффект усадки красочного слоя
и ослабляет запах.
Краски радикального отверждения меньше
ограничены pH запечатываемого материала,
поэтому могут быть использованы при печати
на материалах с большей щелочностью и
в сочетании с флексографскими красками
на водной основе, имеющими в своем составе
аминосоединения.
Недостатки красок
радикального механизма закрепления.
Все процессы полимеризации должны пройти
за очень короткий промежуток времени.
Краски радикального механизма реагируют
быстро, процесс закрепления охватывает
все компоненты. Это создает значительные
нагрузки на термоусадочную пленку, из-за
чего под воздействием небольших количеств
теплового излучения от УФ-ламп пленка
может деформироваться. Сильная усадка
также может быть причиной недостаточной
гибкости красочного слоя, из-за чего при
тепловой обработке краска может не сократиться
в той же степени, что и основа. Вследствие
большой скорости и природы механизма усадка
для некоторых традиционных типов радикальных
красок может достигать 15%.
Радикальный механизм также чувствителен
к наличию кислорода. Это легко преодолевается
применением более мощных ламп, высокоэффективных
компонентов или инициаторов, поглощающих
или использующих кислород в ходе реакции
(например, третичные амины). Содержание
кислорода в атмосфере не так подвержено
изменениям, поэтому то, что сработало
вчера, сработает и сегодня.
Новая технология флексографской печати
радикальными УФ-красками и глубокая печать
красками на летучих растворителях: сравнение
Компанией
Zeller+Gmellin разработан новый метод
применения определенных радикальных УФ-красок
при работе с термоусадочной пленкой. Суть
метода состоит в использовании красок
с низкой степенью усадки красочного слоя
и большим градиентом гибкости. Это нововведение
проявило себя как успешная альтернатива
катионным краскам не только при печати
на термоусадочной пленке, но и на необработанной
металлизированной пленке, сложных видах
пластика и термоформующихся материалах,
где ранее применялись лишь радикальные
краски или на основе растворителей.
Рис.
3. График скорости полимеризации по ионному
и радикальному механизму.
Сравнительная характеристика полимеризации
и адгезии новой белой радикальной
УФ-краски с низкой степенью усадки и белой
катионной УФ-краски при печати на ОПС.
Толщина красочной пленки: 5 см3/м2, условия
полимеризации: Н-лампа 450 ватт/дюйм2,
влажность 36%. Оценка адгезии: 0–5 баллов,
где 5 - полная адгезия. Примечание: УФ-секция,
которая была использована при печати,
не рассчитана на отвод тепла. С удалением
нагрева от лампы скорость катионной полимеризации
резко падает

Рис.
4. Сравнение механизмов работы сольвентных
красок
для глубокой печати и новых радикальных
УФ-красок
Скорость закрепления.
Рассматриваемый метод включает высокую
скорость радикальной полимеризации (рис.
3) и хорошую адгезию к запечатываемому
материалу, что позволяет работать с минимальным
давлением, использовать лампы минимальной
мощности, сразу же отводя от материала
избыточный нагрев. Скорость катионной
полимеризации в значительной степени зависит
от нагрева, что не позволяет печатать
на высокой скорости или уменьшить интенсивность
облучения. Это положение являлось основным
ограничительным фактором в споре УФ-флексографии
и глубокой печати красками на летучих
растворителях. С разработкой необходимого
оборудования и переналадкой печатных машин
для работы с новой технологией этот недостаток
потеряет актуальность, и флексография
легко сможет достичь производительности
глубокой печати.
Усадка.
Образующиеся в ходе процесса сильные адгезионные
связи позволяют краске слиться с поверхностью
сразу же после отверждения. Силы адгезии
настолько велики, что краска удерживается
на многих необработанных металлизированных
пленках. Этот эффект мгновенного слияния
и небольшая усадка акриловых соединений
приводят к возникновению в слое краски
напряжения, впрочем, недостаточного для
деформирования красочной пленки. Этот
эффект напряжения аналогичен процессу
изготовления термоусадочных пленок: полимер
нагревают, растягивают и охлаждают, таким
образом придавая материалу «память», за
счет которой при повторном нагреве пленка
сжимается до исходных размеров. Используя
УФ-краски радикального механизма, мы наделяем
красочный слой схожими свойствами. Краски
на летучих растворителях, напротив, сдерживают
усадку, поскольку не подвергаются воздействию
напряжения. Наличие несильного напряжения
в слое радикальной УФ-краски улучшает
усадочные качества по сравнению с водными
и сольвентными красками для глубокой и
флексографской печати. Полная общая усадка,
которой удалось достигнуть с помощью технологии
радикальной полимеризации, разработанной
компанией Zeller+Gmellin, составляет 75%
в сочетании с пленками из ПЭТГ (полиэтилентерефталат-гликоля)
- с наибольшей способностью к усадке.
Метод также пригоден для любого термоусадочного
рукавного материала (ОПС, К-смола, ПВХ,
ПЭТГ, полиолефины и т. д.) в сочетании
с обработкой коронным разрядом для удаления
пластификатора с поверхности пленки.
Качество печати.
По сравнению с глубокой печатью красками
на летучих растворителях качество печати
тоже улучшено - возможно применение печатных
форм с линиатурой 60–70 лин/см. Здесь
следует упомянуть о том, что в глубокой
печати отсутствует деление красочной пленки,
что удваивает количество наносимой краски.
С двойной толщиной красочного слоя и гораздо
меньшей вязкостью краски растискивание
в глубокой печати будет значительно больше.
УФ-краски радикального механизма закрепления,
разработанные для печати на рукавных термоусадочных
пленках были также специально предназначены
для высоколиниатурных анилоксовых валов
- до 700 лин/см. Тонкие красочные пленки
и возможность зафиксировать точку сразу
же после того, как она отпечатана, позволяют
достичь еще большего превосходства над
глубокой печатью красками. Пигментация
также становится более прозрачной, чем
у красок глубокой печати, позволяя получать
более чистые изображения. У непрозрачных
белых красок значительно повысилась оптическая
плотность и белизна, теперь и
х можно использовать в сочетании с флексографскими
красками на летучих растворителях или
водной основе там, где нельзя использовать
катионные краски.
Затраты.
Экономичность флексографии по сравнению
с глубокой печатью проявляется в более
низкой стоимости печатных машин, применении
фотополимерных формных пластин вместо
гравированных цилиндров, отсутствии установок
рекуперации, улучшенных экологических
показателях, использовании более дешевых
УФ-ламп вместо традиционных сушилок для
рукавной термоусадочной пленки, меньшей
трудоемкости при высокой скорости печати
и переналадки оборудования как для больших,
так и для малых тиражей. УФ-краски стоят
дороже, чем краски на летучих растворителях,
однако, если учесть удвоенное содержание
пигмента, этот недостаток в значительной
степени нивелируется.
Скольжение.
Характеристики скольжения в сравнении
с глубокой печатью также улучшились. Это
делает более удобной дальнейшую работу
с рукавной пленкой, если размер товара
и проема рукава близки и пленку приходится
натягивать.
Технологические решения для закрепления
радикальных УФ-красок при работе с тонкой
и термоусадочной пленкой
Помимо
пригодности красок для печати на термоусадочной
пленке необходима нейтрализация теплового
излучения от УФ-ламп при закреплении краски,
чтобы избежать усадки материала. Эти решения
можно использовать и при работе с однослойной
тонкой пленкой, где нагрев от печатной
машины также является критическим фактором.
Охлаждающие валики.
Применение охлаждающих валиков - лучший
и наиболее безопасный способ охлаждения
термоусадочной пленки и достижения наибольшей
скорости печати. Используя другие методы
из этого списка, можно обойтись без них,
однако скорость печати будет меньше и
увеличится количество отходов.
Лампы низкой мощности.
В сущности, все, что нам нужно - это добиться
прочной связи между краской и запечатанным
материалом и получить желаемые потребительские
свойства без излишнего отверждения краски.
Не все пигменты задерживают свет в равной
степени. Поэтому светлые краски следует
облучать менее мощными лампами, чем темные.
Некоторые пигменты, например, угольно-черный,
хорошо поглощают тепловое излучение УФ-ламп,
поэтому в случае высокой плотности нуждаются
в применении охлаждающих валиков.
Лампы с поглотителями.
УФ-лампы с металлическими поглотителями
имеют более высокую эффективность, что
позволяет дополнительно уменьшить их мощность,
сохраняя качество полимеризации.
Использование
термохроматических УФ-красок. Используя
термохроматические УФ-краски в качестве
цветовой измерительной шкалы, можно определить,
соблюдены ли требования к температуре.
Этой же цели можно достичь, проводя измерения
нагрева рулонного материала.
Холодные и охлажденные
УФ-лампы. Система ламп - устройство,
для которого разработаны все эти технологии.
Использование дихроичных рефлекторов,
охлаждаемых зеркал и фильтров ИК-излучения,
таких как створки с дихроическим покрытием,
может оказаться незаменимым для предотвращения
порчи запечатываемого материала от перегрева.
Новые системы ламп были созданы специально
для работы с тонкой и термоусадочной пленкой:
они дают больше закрепляющих милиджоулей
при меньшей мощности. Это означает меньший
нагрев и увеличение скорости печати.
Заключение
Печать
на термоусадочной пленке - сложная, но
прибыльная работа на машинах с УФ-сушками.
Технологии продолжают развиваться, а краски
и системы отверждения с каждым днем становятся
все более сложными и специализированными.
Системы радикальных УФ-красок теперь пригодны
для работы с тонкой и рукавной термоусадочной
пленкой с отличными показателями усадки,
безопасности для окружающей среды, качества
печати, экономичности и производительности
по сравнению с красками для глубокой печати
на основе летучих растворителей. Рынок
печати на термоусадочной рукавной пленке
растет быстрыми темпами. Применение УФ-красок
радикального механизма отверждения является
более дешевой и высокопроизводительной
альтернативой, способной стать катализатором
для этого перспективного рынка.

|